Penerangan Jawapan bagi Soalan 1
Langkah 1: Formula telah di beri ia itu C5H6N2
Langkah 2 : Nombor ketaktepuan bolih di kira ;
UN = 5 - (6/2) + (2/2) + 1 = 4
besar kemungkinan ada satu gelang aromatik
Langkah 3 : Kumpulkan fragmen fragmen kecil.
Dari 13C-nmr - di dapati ada satu kumpulan -CH3 dan empat karbon sp2 (karbon aromatik atau olefin).
Ke-enam-enam hidrogen terikat pada karbon. (tidak pada nitrogen)
Dari formula - tinggal hanya dua atom nitrogen sahaja.
Dari UV - anjakan batokrom pada pH = 1 (berasid) menunjukkan sebatian adalah suatu bes, mungkin amina.
Langkah 4 : Gabung fragmen-fragmen kecil (jika boleh).
maklumat-maklumat yang terkumpul di atas menunjukkan ada satu gelang aromatik tetapi hanya empat karbon sahaja. Walau bagaimanapun, memang wujud gelang aromatik yang mengandungi unsur selain dari karbon, umpamanya nitrogen. Sebatian-sebatian ini dipanggil sebatian heteroaromatik.
Berdasarkan kefahaman ini beberapa struktur yang mungkin boleh dilukis dalam langkah berikutnya.
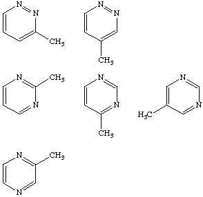
Langkah 5 : Struktur-struktur yang mungkin

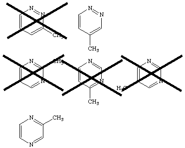
Langkah 6 : Pilih struktur yang tepat dengan menyingkirkan struktur-struktur yang tidak selaras dengan maklumat spektroskopi satu per satu.
langkah 6 ini bagi struktur di atas agak sukar ditangani. Walau bagaimanapun, anda boleh gunakan 1H-nmr dan melihat polar puncak bagi hidrogen aromatik yang memang telah diperbesarkan. Terdapat 2 hidrogen yang hampir setara dan satu lagi yang tak setara. Oleh itu struktur-struktur berikut boleh di singkirkan.
Struktur yang tepat boleh di pilih dengan menganggarkan anjakan kimia bagi hidrogen-hidrogen aromatik . Struktur yang teratas sekali tidak bagitu tepat kerana hidrogen-hidrogen tersebut lebih tidak setara jika di bandingkan dengan struktur di bawah.
Langkah 7 : Sahkan struktur pilihan.
Biasanya spektra 1H-nmr dan spektra jisim boleh digunakan. Semua data adalah selaras.
Sah struktur jawapan bagi soalan 1 adalah
